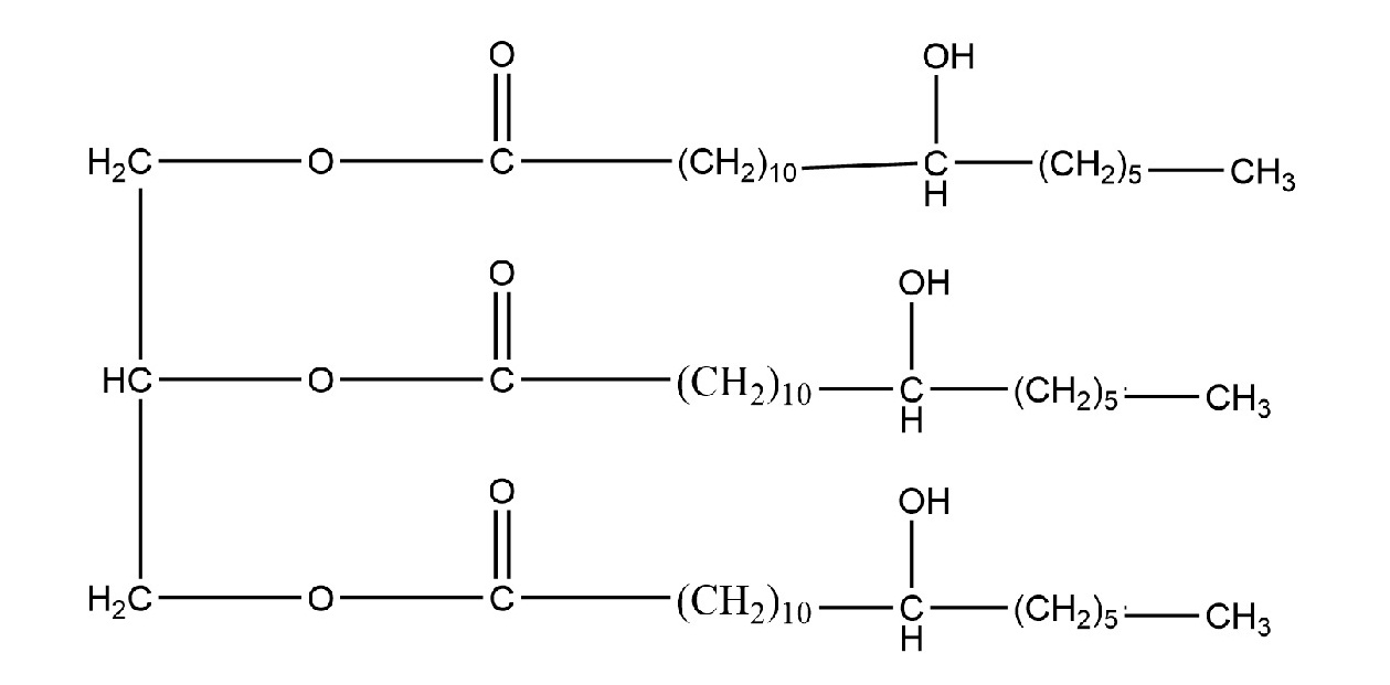
Castor Oil Chemical Name . the chemical structure of castor oil is centered on the ricinoleic acid and three major functional groups linked by glycerol moiety. castor oil is a vegetable oil obtained by pressing the seeds of the castor oil plant (ricinus communis l.) mainly cultivated. Castor oil is extracted through the process of pressing the seeds of the. castor oil, also known as ricinus oil, is a triglyceride of fatty acids which occurs in the seed of the castor plant, ricinus communis (india, brazil). castor oil, produced from castor beans, has long been considered to be of. the chemical structure of castor oil is centered on the ricinoleic acid and three major functional groups linked by glycerol moiety.
from journals.sagepub.com
the chemical structure of castor oil is centered on the ricinoleic acid and three major functional groups linked by glycerol moiety. castor oil, also known as ricinus oil, is a triglyceride of fatty acids which occurs in the seed of the castor plant, ricinus communis (india, brazil). castor oil is a vegetable oil obtained by pressing the seeds of the castor oil plant (ricinus communis l.) mainly cultivated. the chemical structure of castor oil is centered on the ricinoleic acid and three major functional groups linked by glycerol moiety. Castor oil is extracted through the process of pressing the seeds of the. castor oil, produced from castor beans, has long been considered to be of.
Chemical modifications of castor oil A review Ntsako Portia Chauke
Castor Oil Chemical Name castor oil is a vegetable oil obtained by pressing the seeds of the castor oil plant (ricinus communis l.) mainly cultivated. castor oil is a vegetable oil obtained by pressing the seeds of the castor oil plant (ricinus communis l.) mainly cultivated. the chemical structure of castor oil is centered on the ricinoleic acid and three major functional groups linked by glycerol moiety. the chemical structure of castor oil is centered on the ricinoleic acid and three major functional groups linked by glycerol moiety. castor oil, produced from castor beans, has long been considered to be of. Castor oil is extracted through the process of pressing the seeds of the. castor oil, also known as ricinus oil, is a triglyceride of fatty acids which occurs in the seed of the castor plant, ricinus communis (india, brazil).
From www.carelink.lk
Castor Oil 30ml Online Pharmacy in Sri Lanka Carelink.lk Castor Oil Chemical Name the chemical structure of castor oil is centered on the ricinoleic acid and three major functional groups linked by glycerol moiety. castor oil is a vegetable oil obtained by pressing the seeds of the castor oil plant (ricinus communis l.) mainly cultivated. the chemical structure of castor oil is centered on the ricinoleic acid and three major. Castor Oil Chemical Name.
From journals.sagepub.com
Chemical modifications of castor oil A review Ntsako Portia Chauke Castor Oil Chemical Name the chemical structure of castor oil is centered on the ricinoleic acid and three major functional groups linked by glycerol moiety. castor oil is a vegetable oil obtained by pressing the seeds of the castor oil plant (ricinus communis l.) mainly cultivated. castor oil, also known as ricinus oil, is a triglyceride of fatty acids which occurs. Castor Oil Chemical Name.
From naturaldispensary.co.uk
Organic Castor Oil 50ml The Natural Dispensary Castor Oil Chemical Name castor oil, produced from castor beans, has long been considered to be of. Castor oil is extracted through the process of pressing the seeds of the. the chemical structure of castor oil is centered on the ricinoleic acid and three major functional groups linked by glycerol moiety. castor oil, also known as ricinus oil, is a triglyceride. Castor Oil Chemical Name.
From journals.sagepub.com
Chemical modifications of castor oil A review Ntsako Portia Chauke Castor Oil Chemical Name Castor oil is extracted through the process of pressing the seeds of the. the chemical structure of castor oil is centered on the ricinoleic acid and three major functional groups linked by glycerol moiety. the chemical structure of castor oil is centered on the ricinoleic acid and three major functional groups linked by glycerol moiety. castor oil,. Castor Oil Chemical Name.
From ayurvedicoils.com
Ayurvedic health benefits of Castor oil Essential Oil Castor Oil Chemical Name the chemical structure of castor oil is centered on the ricinoleic acid and three major functional groups linked by glycerol moiety. castor oil, also known as ricinus oil, is a triglyceride of fatty acids which occurs in the seed of the castor plant, ricinus communis (india, brazil). the chemical structure of castor oil is centered on the. Castor Oil Chemical Name.
From www.worldchemical.co.th
น้ำมันละหุ่ง (Castor Oil) World Chemical Group Castor Oil Chemical Name castor oil, also known as ricinus oil, is a triglyceride of fatty acids which occurs in the seed of the castor plant, ricinus communis (india, brazil). the chemical structure of castor oil is centered on the ricinoleic acid and three major functional groups linked by glycerol moiety. the chemical structure of castor oil is centered on the. Castor Oil Chemical Name.
From journals.sagepub.com
Chemical modifications of castor oil A review Ntsako Portia Chauke Castor Oil Chemical Name castor oil, produced from castor beans, has long been considered to be of. the chemical structure of castor oil is centered on the ricinoleic acid and three major functional groups linked by glycerol moiety. castor oil is a vegetable oil obtained by pressing the seeds of the castor oil plant (ricinus communis l.) mainly cultivated. Castor oil. Castor Oil Chemical Name.
From www.indiamart.com
Castor Oil at best price in Chennai by Kiruba Chemicals ID 2582717412 Castor Oil Chemical Name the chemical structure of castor oil is centered on the ricinoleic acid and three major functional groups linked by glycerol moiety. castor oil, also known as ricinus oil, is a triglyceride of fatty acids which occurs in the seed of the castor plant, ricinus communis (india, brazil). castor oil is a vegetable oil obtained by pressing the. Castor Oil Chemical Name.
From thenaturelab.me
Organic Castor Oil The Nature Lab Castor Oil Chemical Name castor oil is a vegetable oil obtained by pressing the seeds of the castor oil plant (ricinus communis l.) mainly cultivated. castor oil, also known as ricinus oil, is a triglyceride of fatty acids which occurs in the seed of the castor plant, ricinus communis (india, brazil). the chemical structure of castor oil is centered on the. Castor Oil Chemical Name.
From journals.sagepub.com
Chemical modifications of castor oil A review Ntsako Portia Chauke Castor Oil Chemical Name the chemical structure of castor oil is centered on the ricinoleic acid and three major functional groups linked by glycerol moiety. the chemical structure of castor oil is centered on the ricinoleic acid and three major functional groups linked by glycerol moiety. Castor oil is extracted through the process of pressing the seeds of the. castor oil,. Castor Oil Chemical Name.
From www.tipsbulletin.com
30 Outstanding Castor Oil Uses and Benefits Castor Oil Chemical Name castor oil, produced from castor beans, has long been considered to be of. castor oil, also known as ricinus oil, is a triglyceride of fatty acids which occurs in the seed of the castor plant, ricinus communis (india, brazil). Castor oil is extracted through the process of pressing the seeds of the. the chemical structure of castor. Castor Oil Chemical Name.
From ayurvedicoils.com
Chemical constituents of Castor Oil Essential Oil Castor Oil Chemical Name the chemical structure of castor oil is centered on the ricinoleic acid and three major functional groups linked by glycerol moiety. castor oil, produced from castor beans, has long been considered to be of. the chemical structure of castor oil is centered on the ricinoleic acid and three major functional groups linked by glycerol moiety. Castor oil. Castor Oil Chemical Name.
From file.scirp.org
Castor oil Castor Oil Chemical Name the chemical structure of castor oil is centered on the ricinoleic acid and three major functional groups linked by glycerol moiety. castor oil, also known as ricinus oil, is a triglyceride of fatty acids which occurs in the seed of the castor plant, ricinus communis (india, brazil). the chemical structure of castor oil is centered on the. Castor Oil Chemical Name.
From in.pinterest.com
Castor Oil Applications Pure castor oil, Oils, Castor oil Castor Oil Chemical Name castor oil, also known as ricinus oil, is a triglyceride of fatty acids which occurs in the seed of the castor plant, ricinus communis (india, brazil). Castor oil is extracted through the process of pressing the seeds of the. castor oil is a vegetable oil obtained by pressing the seeds of the castor oil plant (ricinus communis l.). Castor Oil Chemical Name.
From www.chemichase.com
Castor Oil Chemichase Chemical Co.,Ltd Castor Oil Chemical Name castor oil, also known as ricinus oil, is a triglyceride of fatty acids which occurs in the seed of the castor plant, ricinus communis (india, brazil). castor oil, produced from castor beans, has long been considered to be of. castor oil is a vegetable oil obtained by pressing the seeds of the castor oil plant (ricinus communis. Castor Oil Chemical Name.
From en.alphahi-tech.com
Hydrogenated Castor Oil — Jiangxi Alpha Hitech Pharmaceutical CO., Ltd Castor Oil Chemical Name the chemical structure of castor oil is centered on the ricinoleic acid and three major functional groups linked by glycerol moiety. castor oil, produced from castor beans, has long been considered to be of. the chemical structure of castor oil is centered on the ricinoleic acid and three major functional groups linked by glycerol moiety. castor. Castor Oil Chemical Name.
From www.tropicalholistic.com
100 Pure Organic Cold Pressed Castor Oil 4 oz Tropical Holistic Castor Oil Chemical Name the chemical structure of castor oil is centered on the ricinoleic acid and three major functional groups linked by glycerol moiety. the chemical structure of castor oil is centered on the ricinoleic acid and three major functional groups linked by glycerol moiety. Castor oil is extracted through the process of pressing the seeds of the. castor oil,. Castor Oil Chemical Name.
From kandlaagro.com
Castor Oil Kandla Agro and Chemicals Pvt Ltd Castor Oil Chemical Name Castor oil is extracted through the process of pressing the seeds of the. castor oil, also known as ricinus oil, is a triglyceride of fatty acids which occurs in the seed of the castor plant, ricinus communis (india, brazil). the chemical structure of castor oil is centered on the ricinoleic acid and three major functional groups linked by. Castor Oil Chemical Name.